TRIZ理论属于工程哲学,既然是哲学,就得飘逸点儿,因为哲学与其他学科往往同理。该理论属于研究生和博士阶段的内容,但既然是哲学,对于各个阶段的学习也是有指导意义的。今天讲讲利用TRIZ中突破思维惯性的方法来帮助孩子们学好数学。 在经典TRIZ理论中有五种突破思维惯性的方法,今天重点讲讲STC算子法。 什么是STC算子? 技术系统都有尺寸、时间和成本等因素,通过把这些因素推到无穷大和无穷小,激化某些矛盾,从而突破思维的惯性或获得特殊的结论。其实,在实际应用中,完全没有必要受上述参数的约束,本着上述思想,可以扩大到任何的参数。哲学的问题就是不能照本宣科,墨守成规。接下来我们来以一道小学四年级的数学题为例,看看这种极限思维的方法,如何应用到解题上。

请在这里停留五分钟,看看大家能否口算这道题的答案呢?
这道题,只提供了大正方形的边长,而没有限制小正方形的边长。换句话说小正方形的边长是可变的,同时,阴影部分的形状也是在不断变化的,但是因为某种约束,面积是恒定的。既然面积是恒定的,那么我们只要算出各种变化中的一个面积,即可以把题解出。在这种情况下,我们就可以把参数推向两端,从而激化矛盾。
第一种情况,把右侧的小正方形推向无穷小,是不是可以呢?那图形就变成了图二的形状。因为小正方形无穷小,所以K点就到了大正方形的右下角。这个时候,阴影面积正好无限接近半个大正方形。大正方形的面积是10(cm)*10(cm)=100(cm²),那么一半就是50cm²。

除了上述方法,还可以向另外一端推动参数,即把小正方形放大。虽然小正方形放大,但不能放到无穷大,关键是要找到一个特殊位置,便于计算。小正方形和大正方形同样大的时候,又会出现一个特殊位置,如图三。

这个时候三角形的面积也是可以口算的。底是10cm,高是10cm,三角形的面积是50cm²,和上边计算的结果是相同,对之前的结果进行了佐证。这道题就是利用极限思维,进行求解的一个非常好的例子。
这种利用参数的不断变化,在数学公式的理解中也有很多应用。利用好了这个方法,可以事半功倍的学好数学。
下面我们再来看看梯形、正方形、平行四边形、长方形和三角形的公式有什么内在联系?让我们先看看梯形的面积公式,如图四:S=(a+b)*h/2,即:(上底+下底)*高/2。大家都知道,不赘述。

与平行四边形的关系:
平行四边形可以看成特殊的梯形,所以,上底=下底=平行四边形的底,高=高。带入梯形的公式就是:
S=(平行四边形的底+平行四边形的底)*高/2
所以,长方形的公式就变化为:S=平行四边形的底*高;
与长方形什么关系呢:
长方形可以看成特殊的梯形,所以,上底=下底=长,宽=高。带入梯形的公式就是:
S=(长+长)*宽/2
所以,长方形的公式就变化为:S=长*宽;
与正方形的关系:
正方形也可以看成特殊的梯形,所以,上底=下底=高=边长。带入梯形的公式就是:
S=(边长+边长)*边长/2
所以,正方形的公式就变化为:S=边长*边长;
与三角形的关系:
三角形就是上底为0的梯形,所以,上底=0,下底=底,高=高。带入梯形的公式就是:
S=(0+底)*高/2
所以,三角形的公式就变为:S=底*高/2;
总结起来,这些公式都是一个!其实在整个中学和大学阶段,这种情况会反复出现。
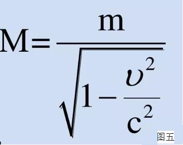
如图五,这是相对论质量的公式。从这个公式可以看出,在宏观低速时,因为速度相对于光速是趋近于零的,因此分母趋近于1,运动物体的质量近似为静止质量。因此,牛顿第二定律是不精确的,实际是个宏观低速近似值。
在大学的普通物理里磁场相关的计算中,也有大量的公式,其实也是参数在不同特殊情况下的变换。

综上所述,其实在学习过程中,找到知识与知识的联系,融会贯通才是学好知识、用好知识的关键。解决技术问题亦是如此!